Submit your contribution!
| Important dates | |
|---|---|
| Abstract submission | February 10, 2026 |
| Notification of abstract acceptance/rejection | February 13, 2026 |
| Full paper submission | March 27, 2026 |
| Notification of full paper acceptance/rejection | May 8, 2026 |
| Deadline for the final manuscript submission | June 12, 2026 |
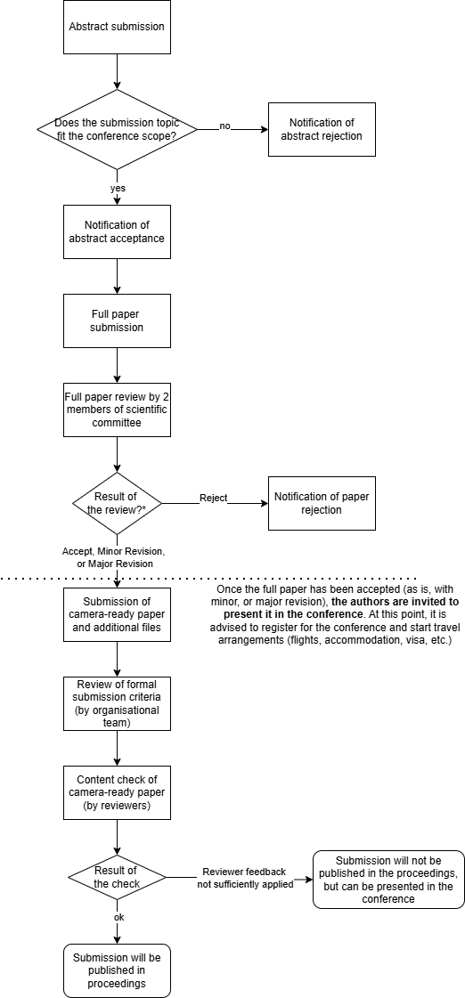
For more detail on the steps followed during the review process, please refer to the image below:
All accepted papers will be published as open access in the Springer's Book Series "Lecture Notes in Mechanical Engineering".
The Microsoft CMT service was used for managing the peer-reviewing process for this conference. This service was provided for free by Microsoft and they bore all expenses, including costs for Azure cloud services as well as for software development and support.
To submit your abstract or paper, please visit the Submission Website and login to your account or follow the instructions for creating an account on the Conference Management Toolkit (CMT). Note that there is no template for the abstract submission. You can use the space available in the CMT platform to include your abstract text or you can upload a file. The abstract maximum length is 200 words, excluding title, names and affiliation.
The full paper template is available on the Springer Information page for Authors of Springer Proceedings.
Guidelines to Authors of the 22nd GCSM:
- All submitted papers will be reviewed by at least two reviewers and a decision on acceptability can be reached based on two acceptable reviews.
- The Editorial Committee can reject any paper outright, without any reviews, if the paper is
(a) not within the topical areas of the conference, and is out of scope; or
(b) written in poor English.
- An author or co-author of accepted papers is allowed to present only two papers at the conference. Additional accepted papers must be presented only by another co-author (not by a friend or a colleague).
- All presenting authors and co-authors must be registered participants at the GCSM.
- It is not permitted to submit more than five papers under your name as author or co-author.
- Papers can only be published if it is presented at the GCSM.
Guidelines for full paper submission:
- Author can choose to work with word or latex. You can find the most recent template at https://www.springer.com/gp/authors-editors/conference-proceedings/conference-proceedings-guidelines .
- Please note: The usage of these templates is mandatory for publication. The picture ready submission must use the template at the latest.
- Please prepare the chapter in one-column format. The maximum number of pages is 8, including references.
- Each paper should begin with an abstract that summarizes its content in no more than 200 words. The abstract will appear online at SpringerLink and be available with unrestricted access to facilitate online searching, using e.g. Google, and allow unregistered users to read the abstract as a teaser for the complete chapter.
- For authors working with word: please avoid inserting equations as graphic files. Use the Math function of Word 2003 or 2007, MathType or Microsoft Equation Editor to create your equations.
- Please include all affiliations and e-mail addresses (or at least the email address of the corresponding author) in the chapter you submit to the book editors. The e-mail addresses will be used by SpringerNature to provide authors with a personal account where they can download a free copy of the eBook upon publication.
- Permissions for any material authors want to reuse from previous publication should be obtained by the corresponding publisher they want to reuse. Authors can GET PERMISSION online by using RightsLink https://www.copyright.com/publishers/rightslink-scientific/ . Moreover, Springer is a STM signatory publisher. Other signatory publishers and their guidelines for permission can be found at https://www.stm-assoc.org/intellectual-property/permissions/permissions-guidelines/
- Springer self-archiving policy for non-open access book and chapters can be found at https://www.springer.com/gp/open-access/publication-policies/self-archiving-policy . Please check the one for books and book chapters by clicking on “Self-archiving for non-open access books and chapters”.

